Conceito de Equilíbrio Químico
Equilíbrio químico é o estado de um sistema reacional no qual não ocorrem variações na composição do mesmo ao longo do tempo.
O equilíbrio químico foi estudado pela primeira vez pelo químico francês Claude Louis Berthollet (1748-1822).
Um estado de equilíbrio químico tende a estabelecer-se num sistema reacional composto por reações reversíveis. Assim, numa reação reversível existem duas reações opostas que ocorrem simultaneamente.
![]()
Na reação direta os reagentes são transformados em produtos e na reação inversa os produtos são convertidos em reagentes.
Quando o estado de equilíbrio químico é atingido, a velocidade da reação direta é igual à velocidade da reação inversa e as concentrações de reagentes e de produtos permanecem contantes ao longo do tempo.
Considerando uma reação química hipotética, tem-se:
![]()
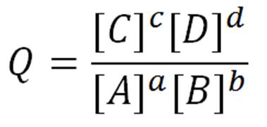
Pode-se definir o quociente da reação, Q, pela seguinte expressão:
![]()
Onde [A], [B], [C] e [D] são as concentrações das espécies presentes na reação num dado instante.
Como estas concentrações variam ao longo da reação, o valor de Q também irá variar, aumentando à medida que a reação avança no sentido da formação dos produtos.
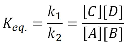
Quando o sistema reacional atinge o estado de equilíbrio, as concentrações das espécies também se tornam constantes, assim como o valor de Q que recebe o nome de constante de equilíbrio, Keq..
![]()
Em que [A]eq., [B]eq., [C]eq. e [D]eq. são agora as concentrações das espécies no equilíbrio.
À medida que a reação avança o valor de Q aproxima-se do valor da constante de equilíbrio, Keq..
Então:
Se Q < Keq., o sistema evolui no sentido da reação direta.
Se Q = Keq-, o sistema está em equilíbrio.
Se Q > Keq., o sistema evolui no sentido da reação inversa.
É de referir que o equilíbrio químico é uma das aplicações mais importantes da termodinâmica.
Quando se diz que o sistema está no estado de equilíbrio, isto significa que o sistema está no estado de “descanso” e, ocorrem continuamente processos dinâmicos, ou seja, para qualquer processo as velocidades no sentido direto e inverso são iguais, as quais asseguram que a composição total do sistema não se altera.
Podem-se estabelecer vários critérios para descrever um sistema em equilíbrio. A primeira lei e a segunda lei da termodinâmica indicam que um sistema tende para um estado de energia mínima e máxima entropia.
Portanto, estas condições devem ser satisfeitas para um sistema atingir o equilíbrio.
Uma mistura reacional tem uma tendência espontânea para evoluir no sentido da diminuição da energia livre de Gibbs.
O estado de equilíbrio corresponde a um valor mínimo para G.
A espontaneidade de um processo pode ser avaliada através da variação da energia livre que acompanha o processo.
![]()
Onde ΔG é a variação da energia livre de Gibbs (J/mol), ΔH é a variação da entalpia (J/mol) e ΔS é a variação de entropia (J/mol.K) e T é a temperatura absoluta (K).
Se ΔG < 0, então o processo é espontâneo.
Se ΔS = 0, o sistema encontra-se em equilíbrio.
Se ΔS > 0, trata-se de um processo provocado.
Para relacionar o equilíbrio químico e a cinética será necessário considerar a seguinte reação elementar:

A velocidade da reação direta (v1) é função das concentrações dos reagentes A e B na mistura reacional.
Então:
![]()
A velocidade da reação inversa (v2) é, por sua vez, função das concentrações dos produtos C e D na mistura reacional.
Então:
![]()
Onde K1 e k2 são as constantes de velocidade das reações direta e inversa, respetivamente.
Estas constantes variam apenas com a temperatura e podem ser expressas em função dessa variável pela equação de Arrhenius. Matematicamente esta equação é descrita da seguinte forma:
![]()
Em que A representa o fator pré-exponencial da equação de Arrhenius, Ea é a energia de ativação da reação (J/mol), R é a constante dos gases que toma o valor de 8,31 J/mol.K e T é a temperatura absoluta (K).
No equilíbrio as velocidades da reação direta e da reação inversa igualam-se (v1=v2) e, desta forma, tem-se:
![]()
Rearranjando a equação obtém-se:
![]()
A constante de equilíbrio para a reação inversa é dada pela seguinte expressão:
![]()
É de notar também que um sistema reacional em equilíbrio continuará com a sua composição inalterada enquanto não sofrer uma perturbação externa.
A forma pela qual um sistema reacional reage a uma perturbação ao seu estado de equilíbrio é resumida pelo princípio de Le Chatelier.
Este princípio enuncia que quando um sistema reacional em equilíbrio químico sofre uma perturbação externa, este deslocar-se-á no sentido de se contrapor à perturbação exercida sobre ele.
As perturbações externas podem ser traduzidas em termos de variações de concentração das espécies constituintes, da pressão e da temperatura do sistema.
Variação na concentração de uma espécie
Pode-se variar a concentração de uma espécie do sistema por adição ou remoção do mesmo.
Adição de uma espécie: Quando se adiciona uma espécie a um sistema reacional em equilíbrio químico, o equilíbrio será deslocado no sentido de consumir a espécie adicionada.
Remoção de uma espécie: Quando se remove uma espécie de um sistema reacional em equilíbrio químico, o equilíbrio será deslocado no sentido de produzir a espécie removida.
Variação da pressão do sistema
As variações na pressão do sistema só irão afetar sistemas reacionais que envolvam espécies gasosas e quando ocorrerem variações no número total de moles gasosos entre reagentes e produtos. A variação de pressão deverá ser igualmente acompanhada pela variação de volume para que afete o equilíbrio.
Aumento da pressão: Quando a pressão do sistema aumenta, o equilíbrio será deslocado no sentido da formação de um menor número de moles gasosos.
Diminuição da pressão: Quando a pressão do sistema diminui, o equilíbrio será deslocado no sentido da formação de um maior número de moles gasosos.
Variação da temperatura
Para todas as reações reversíveis, se a reação direta for exotérmica, a reação inversa será endotérmica, e vice-versa.

Quando ocorre um aumento da temperatura do sistema o equilíbrio será deslocado no sentido da reação endotérmica.
Uma diminuição da temperatura irá deslocar o equilíbrio no sentido da reação exotérmica.
A temperatura é o único parâmetro que afeta diretamente o valor da constante de equilíbrio.
Numa reação exotérmica a constante de equilíbrio diminui com o aumento da temperatura. No caso de uma reação endotérmica, o aumento da temperatura provoca um aumento do valor da constante de equilíbrio.
Caso a constante de equilíbrio de uma reação seja conhecida a uma dada temperatura, pode-se calcular a constante para essa mesma reação, mas para outras temperaturas. Para tal, utiliza-se a equação de van’t Hoff:
![]()
Onde k1 e k2 são as constantes de equilíbrio para a reação nas temperaturas T1 e T2, respetivamente. ΔH⁰ é a entalpia-padrão da reação, R é a constante dos gases ideais e toma o valor de 8,31 J/mol.K e T1 e T2 são as temperaturas absolutas (K).
Ação de catalisadores sobre os equilíbrios químicos
A adição de catalisadores a um sistema em equilíbrio não irá afetar a composição do equilíbrio.
No entanto, a adição de catalisadores irá fazer com que o sistema atinja o estado de equilíbrio mais rapidamente.



